Что-то не так?
Пожалуйста, отключите Adblock.
Портал QRZ.RU существует только за счет рекламы, поэтому мы были бы Вам благодарны если Вы внесете сайт в список исключений. Мы стараемся размещать только релевантную рекламу, которая будет интересна не только рекламодателям, но и нашим читателям. Отключив Adblock, вы поможете не только нам, но и себе. Спасибо.
Как добавить наш сайт в исключения AdBlock
QRZ.RU > Каталог схем и документации > Схемы наших читателей > Антенны > Простая пятидиапазонная вертикальная КВ антенна 14…28 MHz
Реклама
Простая пятидиапазонная вертикальная КВ антенна 14…28 MHz
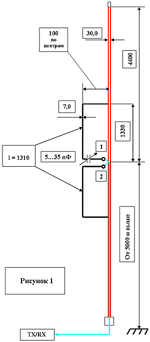
Простая пятидиапазонная вертикальная КВ антенна 14…28 MHz
Антенна смоделирована в развитие «Заземлённого GP 14-28 MHz» DL2KQ – земли у меня нет и уж очень не хотелось связываться с кучей противовесов на крыше девятиэтажки. В приведённой на Рис.1 конструкции противовесы не нужны по понятной причине.
|
