Что-то не так?
Пожалуйста, отключите Adblock.
Портал QRZ.RU существует только за счет рекламы, поэтому мы были бы Вам благодарны если Вы внесете сайт в список исключений. Мы стараемся размещать только релевантную рекламу, которая будет интересна не только рекламодателям, но и нашим читателям. Отключив Adblock, вы поможете не только нам, но и себе. Спасибо.
Как добавить наш сайт в исключения AdBlockРеклама
"Тихая" настройка антенны
| Б. Григорьев |
Для настройки КВ антенн а также для оперативного контроля их параметров в процессе эксплуатации радиостанций коротковолновики обычно применяют измерители коэффициента стоячей волны (КСВ метры). Наибольшее распространение на практике получили КСВ-метры на основе так называемых направленных ответвителей - устройств, реагирующих не только на величину сигнала в передающей линии, но и на направление его распространения. Эти приборы особенно удобны для контроля параметров антенны непосредственно во время работы в эфире, так как допускают эксплуатацию при максимальных значениях мощности разрешенной любительским радиостанциям и практически не вносят потерь в тракт передачи. Однако относительно невысокая чувствительность таких КСВ-метров обуславливает необходимость производить настройку собственно антенны или согласующего блока при больших уровнях мощности, а это может создать помехи (хотя бы и кратковременные) другим любительским радиостанциям.
В принципе можно заметно снизить уровень излучаемой мощности при настройке антенно-фидерного тракта, если в качестве высокочувствительного индикатора использовать связной приемник. Но этот метод применим далеко не всегда, поскольку на большинстве любительских радиостанциях в настоящее время используются трансиверы и традиционный метод измерения КСВ с помощью направленных ответвителей требует наличия отдельного приемника.
Метод измерения КСВ, о котором пойдет речь в этой статье, позволяет производить «тихую» настройку антенны или согласующего блока. Уровень излучающего сигнала при такой настройке не превышает 10-12 Вт и сигнал практически не обнаружен на расстояниях от антенны, превышающих одну-две длины волны.
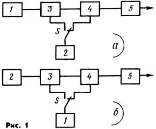
Функциональные схемы устройств для измерения КСВ по традиционной и по новой методике приведены на рис.1а и на рис.1б соответственно. Здесь 1 - генератор (передатчик), 2 — индикатор (приемник), 3 и 4 - направленные ответвители для падающей и отраженной волн, 5 - согласующий блок. Pазличие в двух схемах небольшое - нужно лишь поменять местами источник испытательного сигнала и индикатор. Такая перестановка возможна, поскольку направленные ответвители являются "взаимными" устройствами, т.е. их свойства не изменяются если генератор и нагрузку поменять местами. В устройстве по схеме рис. 1б уровень испытательного сигнала должен быть больше уровня сигнала, принимаемых в данный момент на данной частоте станций всего лишь на 20 дБ. Это обеспечит надежное измерение КСВ, равных или больших 2, что в большинстве случаев вполне достаточно в радиолюбительских условиях.

Собственно источник испытательного сигнала должен обеспечивать уровень примерно еще на 20-40 дБ больший, чтобы скомпенсировать потери в направленных ответвителях. Им может быть, например, кварцевый калибратор приемника. В этом случае измерения КСВ возможны только на фиксированных частотах, вырабатываемых калибратором. Если в качестве источника испытательного сигнала взять генератор шума, то измерения возможны на любой частоте. Из всего спектра сигналов, поступающих на вход приемника, выделить лишь полезный сигнал, соответствующий частоте, на которую он настроен. И все же для радиолюбительской практики больше подходит кварцевый калибратор, поскольку он может обеспечить приемлемую точность по частоте (при метках, кратных 50 кГц), а по субъективным оценкам настройка антенны “на слух” ( см. ниже) по минимуму КСВ более удобна.
Рассмотрим работу устройства по схеме рис.1б подробнее. Когда испытательный сигнал поступает в направленный ответвитель падающей волны, то в основном (рабочем) тракте он распространяется в направлении антенны. Если антенно-фидерный тракт рассогласован (КСВ в тракте левее по схеме согласующего блока не равен 1 ), то возникает отраженный сигнал, который попадает на вход приемника. Когда же генератор подключен к ответвителю отраженной волны, то он сразу поступает на вход приемника. Измерив уровни этих двух сигналов по калиброванному S-метру приемника по известной формуле вычисляют КСВ в рабочем тракте. КСВ, равному 2, соответствует разница в прямом и отраженном сигналах около 20 дБ, поэтому эти уровни должны отличаться примерно на 3,5 балла по шкале S-метра.
Малые уровни излучаемого сигнала позволяют при наличии такого КСВ-метра подстраивать согласующий блок антенно-фидерного тракта непосредственно на рабочей частоте, не создавая при этом помех другим радиолюбителям. Более того, оператор радиостанции в этом случае следит в процессе настройки согласующего блока за обстановкой в эфире. Минимум КСВ при настройке "на слух" выражен очень четко, поскольку изменения испытательного сигнала ( его можно рассматривать в этом случае как "помеху" приему) и полезного сигнала носят "противофазный" характер – при уменьшении КСВ уровень испытательного сигнала падает, а полезного растет.
Практическая схема устройства для измерения КСВ по данной методике приведена на рис. 2, а его конструкция – на рис. 3. Онa содержит только один направленный ответвитель, образованный резистором R и ВЧ трансформатором Т. Дело в том, что необходимости иметь второй ответвитель на самом деле нет. В приемной части тракта , где нет сильных токов, без труда можно имитировать КСВ, равный "бесконечности" . Для этого достаточно закоротить центральную жилу коаксиального кабеля на оплетку, либо напротив – временно отключить ее. Если, например, в трансивере имеется антенное реле (его контакты К1.1 показаны на рис. 2), то никаких дополнительных выключателей не надо. Достаточно, не переходя на передачу, подать управляющее напряжение на обмотку этого реле: антенна будет отключена от измерителя, и вся мощность, прошедшая в тракт через направленный ответвитель, поступит на вход приемника.

Трансформатор Т можно выполнить на тороидальном магнитопроводе диаметром 7…12 мм из феррита с магнитной проницаемостью 20…50. Обмотку трансформатора ( десять витков с отводом от первого витка ) по возможности равномерно размещают по всему кольцу. Ее начало и отвод подпаивают непосредственно к выводам безиндукционного резистора R (подойдут резисторы типов МОН, БЛП и т. п.). Для тракта с волновым сопротивлением 50 ом этот резистор должен иметь сопротивление 5,6 Ом, а с волновым сопротивлением 75 Ом – 8,2 Ом. Мощность, рассеиваемая данным резистором, ничтожна, и ограничений здесь никаких нет.
Входное сопротивление направленного ответвителя для источника сигнала (калибратора ) составляет примерно 500 Ом ( 50-омный тракт) и 800 Ом (75-омный тракт).

Этот измеритель КСВ (точнее его направленный ответвитель) ослабляет сигнал на 0.5 дБ. В приемном тракте на коротких волнах такими потерями практически всегда можно пренебречь.
Литература
- Underhill M. J. Simple quiet tuning and malting antennas, - Radio Communication, 1981, May, p. 420
- Underhill M. J., Lewis P. A. Quiet tuning of antenna,- Electronics Letters, 1979, v.15, № 1, p. 37